|
Закон сохранения механической энергии.
|
|
Сумма кинетической и потенциальной энергий системы тел называется полной механической энергиейсистемы.
|
E = Ep + Ek
|
|
Учитывая, что при совершении работы A = ΔEk и, одновременно, A = - ΔEp,
получим:
ΔEk = - ΔEp или Δ(Ek + Ep)=0 – изменение суммы кинетической и потенциальной энергий
(т.е. изменение полной механической энергии) системы равно нулю.
|
ΔEk = - ΔEp
|
|
Значит, полная энергия системы остается постоянной:
E = Ep + Ek = const.
В замкнутой системе, в которой действуют только консервативные силы, механическая энергия сохраняется.
(Или: полная механическая энергия системы тел, взаимодействующих силами упругости и гравитации, остается неизменной при любых взаимодействиях внутри этой системы).
|
E = Ep + Ek = const
|
|
Например, для тела, движущегося под действием силы тяжести (падение; тело, брошенное под углом к горизонту, вертикально вверх или движущееся по наклонной плоскости без трения):
|
|
|
Работа силы трения и механическая энергия.
|
|
Если в системе действуют силы трения (сопротивления), которые не являются консервативными, то энергия не сохраняется.
При этом E1 - E2 = Aтр. Т.е. изменение полной механической энергии системы тел равно работе сил трения (сопротивления) в этой системе.
Энергия изменяется, расходуется, поэтому такие силы наз.диссипативными (диссипация – рассеяние).
|
E1 - E2 = Aтр
|
|
Т.о. механическая энергия может превращаться в другие виды энергии, напр., во внутреннюю(деформация взаимодействующих тел, нагревание).
|
|
Столкновения тел.
|
|
З-н сохранения и превращения механической энергии применяется, например, при изучении столкновений тел. При этом он выполняется в системе с з-ном сохранения импульса. Если движение происходит так, что потенциальная энергия системы остается неизменной, то может сохраняться кинетическая энергия.
|
|
Удар, при котором сохраняется механическая энергия системы, наз. абсолютно упругим ударом.
|

|
|
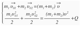
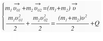
Удар, при котором тела движутся после столкновения вместе, с одинаковой скоростью, наз.
абсолютно неупругим ударом
(при этом механическая энергия не сохраняется – деформация, тепло).
|
|
|
Удар, при котором тела до соударения движутся по прямой, проходящей через их центр масс, наз. центральным ударом.
|
|