|
Строение атомного ядра
|
|
В 1911 г. в результате исследований, проведенных Резерфордом по рассеянию α-частиц при прохождении через вещество, был открыт протон — ядро атома водорода, который обладает положительным электрическим зарядом, равным модулю заряда электрона.
|

|
|
Заряд ядра атома
Английский физик Г. Мозли в 1913 г. предсказал, что заряд ядра атома q,=Ze, где е —элементарный электрический заряд; Z — порядковый номер элемента в таблице Менделеева, определяет число электронов в атоме. Химические свойства зависят только от зарядового числа. Немецкие ученые В. Боте и Г. Беккер, изучая реакции (1930),происходящие при облучении бериллия α-частицами, обнаружили новое излучение, обладающее очень большой проникающей способностью.
|
|
|
В 1932 г. английский физик Дж. Чэдвик выдвинул гипотезу: бериллиевые лучи состоят из нейтральных частиц, масса которых близка к массе протона. Их назвали нейтронами.
|
|
|
Дальнейшие исследования показали, что нейтрон — нестабильная частица: свободный нейтрон за время 15 мин распадается на протон, электрон и нейтрино — частицу, лишенную массы покоя.
|
|
|
Масса нейтрона mn=1838,6 электронных масс, масса протона mp= 1836,1 электронных масс, mn > mp приблизительно на 2,5 массы электрона. После открытия нейтрона Д. Д. Иваненко и В. Гейзенберг выдвинули гипотезу о протонно-нейтронном строении ядра.
В ядре протон и нейтрон неразличимы, поэтому их называют нуклонами (ядерными частицами). Число протонов Z, число нейтронов N, массовое число—это суммарное число нуклонов в ядре А..
|
A - массовое число
Z - заряд ядра,
число протонов,
число электронов,
номер элемента в таблице Менделеева
N - число нейтронов
|
|

|
A=Z+N
|
|
Обозначение химических элементов (ядер) в атомной и ядерной физике.
, где X - символ химического элемента.
- протон; - нейтрон; - электрон; -частица;
|

|
|
Типы радиоактивного распада
(правила смещения)
|
|
Альфа-распад
Превращение атомных ядер, сопровождаемое испусканием a-частиц, называетсяальфа-распадом. Теория создана Г.А. Гамовым в 1930-32 г. на основе квантово-механического туннельного эффекта.
|
|
|
Наиболее устойчивым из всех образований внутри ядра является образование двух протонов и двух нейтронов. Если при распределении энергии между частицами ядра это образование будет обладать энергией большей, чем энергия связи, то оно покинет ядро в виде a-частицы.
|
|
|
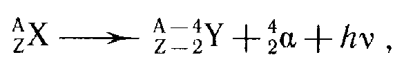
Если — материнское ядро, то превращение этого ядра при a.-распаде происходит по следующей схеме (правило смещения): где —символ дочернего ядра; —ядро атома гелия ; hv - квант энергии, испускаемой ядром.
При альфа-распаде происходит смещение химического элемента на две клетки влево в таблице Менделеева.
|

Например:

|
|
Бета-распад Теория создана в 1930г. Энрико Ферми.
Радиоактивные ядра могут выбрасывать поток электронов, которые рождаются согласно гипотезе Ферми в результате превращения нейтронов в протоны. В соответствии с правилом смещения массовое число ядра не изменяется: .
При β- распаде химический элемент перемещается на одну клетку вправо в периодической системе Менделеева и, кроме электронов, испускается антинейтрино,
|

Например:

|
|
Гамма-излучение возникает при ядерных превращениях и представляет собой электромагнитное излучение. Имеет высокую энергию.
|
|
|
Э. Резерфорд установил, что воздух сильнее всего ионизуют α-лучи, в меньшей степени— β-лучи и совсем плохо — γ-лучи. Поэтому проникающая способность оказалась самая малая у α-лучей (лист бумаги; несколько сантиметров слоя воздуха), а β-лучи проходят сквозь алюминиевую пластину толщиной в несколько миллиметров. Очень велика проникающая способность у γ-лучей (например, для алюминия - пластины толщиной десятки сантиметров).
|
|